Bệnh viện Đa khoa Nông nghiệp
Trang chủ
Tin tức sự kiện
Quản trị
Tra cứu HSSK
Đặt lịch khám
Liên hệ
Giám đốc TS. Hà Hữu Tùng "Nhà lãnh đạo giỏi Việt Nam năm 2014"
Hiến máu cứu người - Một nghĩa cử cao đẹp
Hội thi “Người Việt Nam ưu tiên dùng thuốc Việt Nam” năm 2014
Bí thư Đảng bộ Hà Hữu Tùng nhận bằng khen của Thủ tướng Chính phủ
Tin nổi bật
THÔNG BÁO VỀ VIỆC CHUYỂN ĐỔI THÔNG TIN PHÁP NHÂN VÀ HÓA ĐƠN ĐIỆN TỬ
Thông báo
HỌP HỘI ĐỒNG NGƯỜI BỆNH CẤP VIỆN: GHI NHẬN NHIỀU Ý KIẾN TÂM HUYẾT NHẰM NÂNG CAO CHẤT LƯỢNG CHĂM SÓC NGƯỜI BỆNH
PHÒNG ĐIỀU DƯỠNG SƠ KẾT HOẠT ĐỘNG QUÝ I VÀ TRIỂN KHAI KẾ HOẠCH TRỌNG TÂM QUÝ II NĂM 2026
THÔNG BÁO VỀ VIỆC CHUYỂN ĐỔI THÔNG TIN PHÁP NHÂN VÀ HÓA ĐƠN ĐIỆN TỬ
|
Thông báo
|
HỌP HỘI ĐỒNG NGƯỜI BỆNH CẤP VIỆN: GHI NHẬN NHIỀU Ý KIẾN TÂM HUYẾT NHẰM NÂNG CAO CHẤT LƯỢNG CHĂM SÓC NGƯỜI BỆNH
|
PHÒNG ĐIỀU DƯỠNG SƠ KẾT HOẠT ĐỘNG QUÝ I VÀ TRIỂN KHAI KẾ HOẠCH TRỌNG TÂM QUÝ II NĂM 2026
|
Giới thiệu bệnh viện
Giới thiệu chung
Chức năng, nhiệm vụ
Cơ cấu tổ chức Bệnh viện
Các khoa, phòng
Công nghệ và thiết bị
Quy trình
Nguồn lực
Tin tức sự kiện
Tin tức bệnh viện
Y học thế giới
Y học Việt Nam
Chính sách, văn bản
Hoạt động đào tạo
Nguyên cứu khoa học
Các bệnh lâm sàng
Hợp tác quốc tế
Sức khỏe người bệnh
Biện pháp phòng bệnh
Dịch vụ yêu cầu
Quy trình, Thủ tục
Phản hồi
Bảng giá
Dịch vụ kỹ thuật
Thuốc
Vật tư tiêu hao
Lịch công tác
Lịch công tác tuần
Lịch trực tháng
Hình ảnh bệnh viện
Cơ sở thiết bị
Hoạt động
Video
Khám chữa bệnh
Liên hệ
Sơ đồ website
Thư viện
Sử dụng ICD-10
Kết quả kiểm tra BV
Mẫu văn bản
Bệnh án điện tử
Đăng ký tiêm chủng
Đăng ký tiêm lẻ Pentaxim
Tiêm Văcxin theo gói
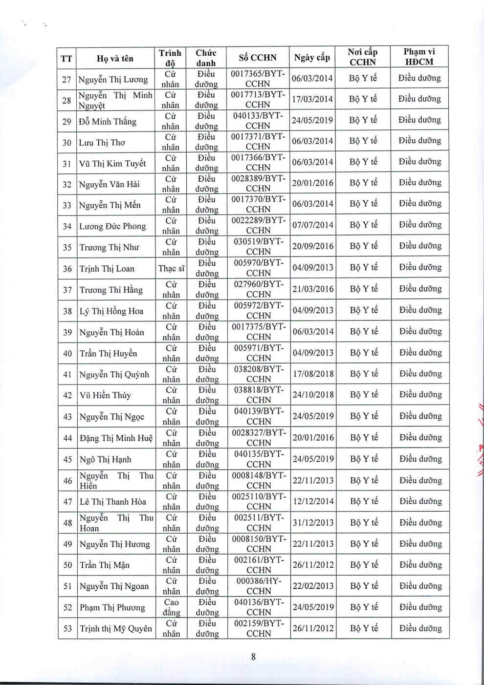
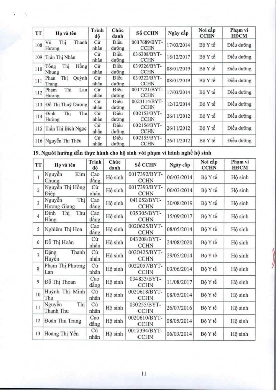
Thông báo danh sách người hướng dẫn thực hành khám bệnh, chữa bệnh
05/09/2025 Lúc 9:15sáng
Người đăng:
JK Nguyễn
Share Facebook
Tweet
Các tin liên quan
THÔNG BÁO VỀ VIỆC CHUYỂN ĐỔI THÔNG TIN PHÁP NHÂN VÀ HÓA ĐƠN ĐIỆN TỬ
Thông báo
HỌP HỘI ĐỒNG NGƯỜI BỆNH CẤP VIỆN: GHI NHẬN NHIỀU Ý KIẾN TÂM HUYẾT NHẰM NÂNG CAO CHẤT LƯỢNG CHĂM SÓC NGƯỜI BỆNH
PHÒNG ĐIỀU DƯỠNG SƠ KẾT HOẠT ĐỘNG QUÝ I VÀ TRIỂN KHAI KẾ HOẠCH TRỌNG TÂM QUÝ II NĂM 2026
BỆNH VIỆN ĐA KHOA NÔNG NGHIỆP (DO BỆNH VIỆN HỮU NGHỊ VIỆT ĐỨC QUẢN LÝ) TIẾP ĐÓN SINH VIÊN TRƯỜNG CAO ĐẲNG Y TẾ VÀ THIẾT BỊ VIỆT ĐỨC ĐẾN THỰC TẬP
Liên kết